Wiki Link
vins-fusion-stereo with MH_02_easy
| Parameter type | Parameter name | Parameter value |
|---|---|---|
| algorithm-parameters | F_threshold | 1.0 |
| algorithm-parameters | flow_back | 1 |
| algorithm-parameters | freq | 10 |
| algorithm-parameters | image1_topic | /cam1/image_raw |
| algorithm-parameters | keyframe_parallax | 10.0 |
| algorithm-parameters | max_cnt | 150 |
| algorithm-parameters | max_num_iterations | 8 |
| algorithm-parameters | max_solver_time | 0.04 |
| algorithm-parameters | min_dist | 30 |
| algorithm-parameters | show_track | 1 |
| dataset-frequency | /cam0/image_raw | 1 |
| dataset-frequency | /cam1/image_raw | 1 |
| dataset-parameters | body_T_cam0 | [0.0148655429818, -0.999880929698, 0.00414029679422, -0.0216401454975, 0.999557249008, 0.0149672133247, 0.025715529948, -0.064676986768, -0.0257744366974, 0.00375618835797, 0.999660727178, 0.00981073058949, 0, 0, 0, 1] |
| dataset-parameters | body_T_cam1 | [0.0125552670891, -0.999755099723, 0.0182237714554, -0.0198435579556, 0.999598781151, 0.0130119051815, 0.0251588363115, 0.0453689425024, -0.0253898008918, 0.0179005838253, 0.999517347078, 0.00786212447038, 0, 0, 0, 1] |
| dataset-parameters | cam0_calib | cam0_pinhole.yaml |
| dataset-parameters | cam0_cx | 73.443 |
| dataset-parameters | cam0_cy | 49.675 |
| dataset-parameters | cam0_fx | 91.7308 |
| dataset-parameters | cam0_fy | 91.4592 |
| dataset-parameters | cam0_k1 | -0.28340811 |
| dataset-parameters | cam0_k2 | 0.07395907 |
| dataset-parameters | cam0_p1 | 0.00019359 |
| dataset-parameters | cam0_p2 | 1.76187114e-05 |
| dataset-parameters | cam1_calib | cam1_pinhole.yaml |
| dataset-parameters | cam1_cx | 75.9998 |
| dataset-parameters | cam1_cy | 51.0476 |
| dataset-parameters | cam1_fx | 91.5174 |
| dataset-parameters | cam1_fy | 91.2268 |
| dataset-parameters | cam1_k1 | -0.28340811 |
| dataset-parameters | cam1_k2 | 0.07395907 |
| dataset-parameters | cam1_p1 | 0.00019359 |
| dataset-parameters | cam1_p2 | 1.76187114e-05 |
| dataset-parameters | estimate_extrinsic | 0 |
| dataset-parameters | estimate_td | 0 |
| dataset-parameters | image0_topic | /cam0/image_raw |
| dataset-parameters | image_frequency | 20 |
| dataset-parameters | image_height | 96 |
| dataset-parameters | image_width | 150 |
| dataset-parameters | td | 0.0 |
| dataset-resolution | /cam0/image_raw | 0.2 |
| dataset-resolution | /cam1/image_raw | 0.2 |
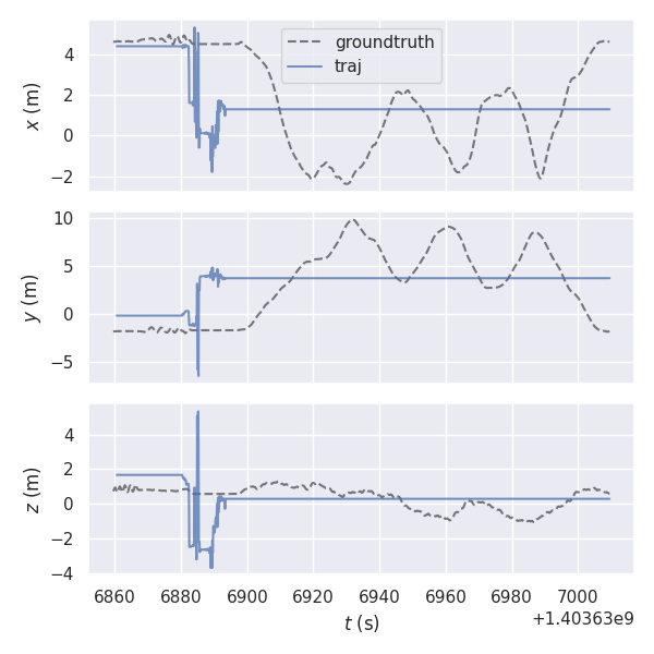
| RMSE | Mean | Median | Std | Min | Max | SSE | |
|---|---|---|---|---|---|---|---|
| ATE | 4.132467948856301 | 3.587185777137429 | 3.421449148214683 | 2.0516796895781635 | 0.24665386644972465 | 10.009960699868298 | 25257.313904172093 |
| RPE | 0.6119721028315629 | 0.58014544235518 | 0.5570927620253375 | 0.1947848052559477 | 0.09024109005418414 | 1.0909925901171798 | 87.26079613207179 |
| Max CPU (core) | Mean CPU (core) | Max Memory (MB) |
|---|---|---|
| 0.898550936835843 | 0.5153293591534199 | 650.4453125 |